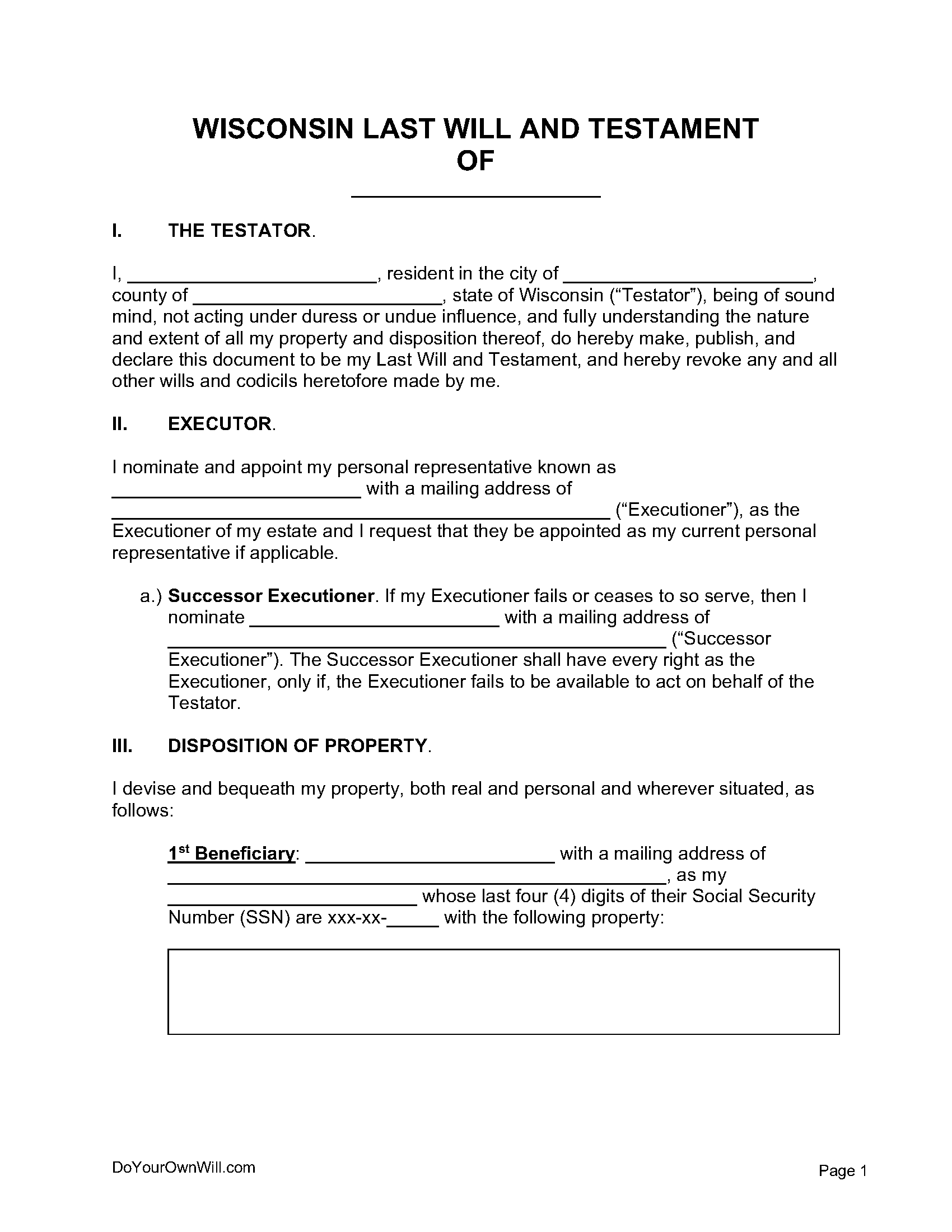
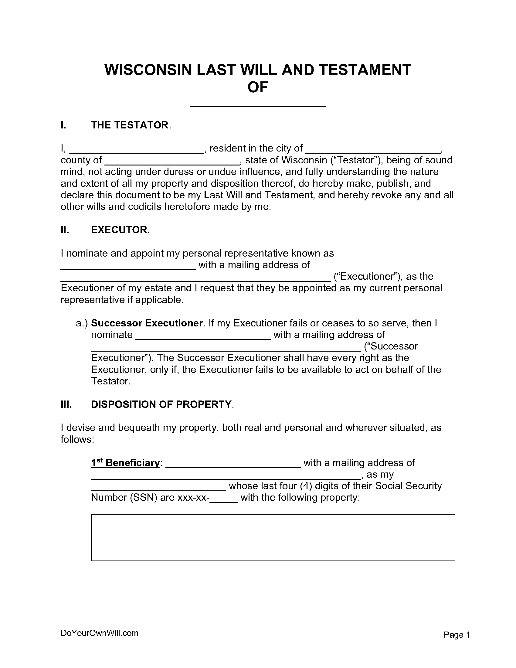
Planning for the future is important, and having a last will and testament in place is a crucial part of that process. In Wisconsin, you can access a printable last will and testament form for free to ensure your wishes are carried out.
Whether you’re looking to outline how your assets should be distributed, appoint guardians for your children, or specify funeral arrangements, having a will can provide peace of mind for you and your loved ones.
Printable Last Will And Testament Form Wisconsin Free
Printable Last Will And Testament Form Wisconsin Free
By downloading and completing a printable last will and testament form in Wisconsin for free, you can take the necessary steps to protect your assets and make your wishes known. This legal document allows you to specify who will inherit your property and assets after your passing.
It’s essential to follow the guidelines and requirements set forth by Wisconsin law when creating your will to ensure its validity. Consulting with a legal professional can also help address any specific concerns or questions you may have during the process.
Having a last will and testament in place can help avoid potential conflicts among family members and ensure that your wishes are respected. By taking the time to create this important document, you can provide clarity and direction for your loved ones during a difficult time.
Don’t wait until it’s too late to create a last will and testament. Download a printable form for free in Wisconsin today and take the necessary steps to protect your assets and provide for your loved ones in the future.
Protecting your assets and ensuring your wishes are carried out is an essential part of planning for the future. By creating a last will and testament, you can provide peace of mind for yourself and your loved ones, knowing that your affairs are in order.
Free Wisconsin Last Will And Testament Template PDF Word
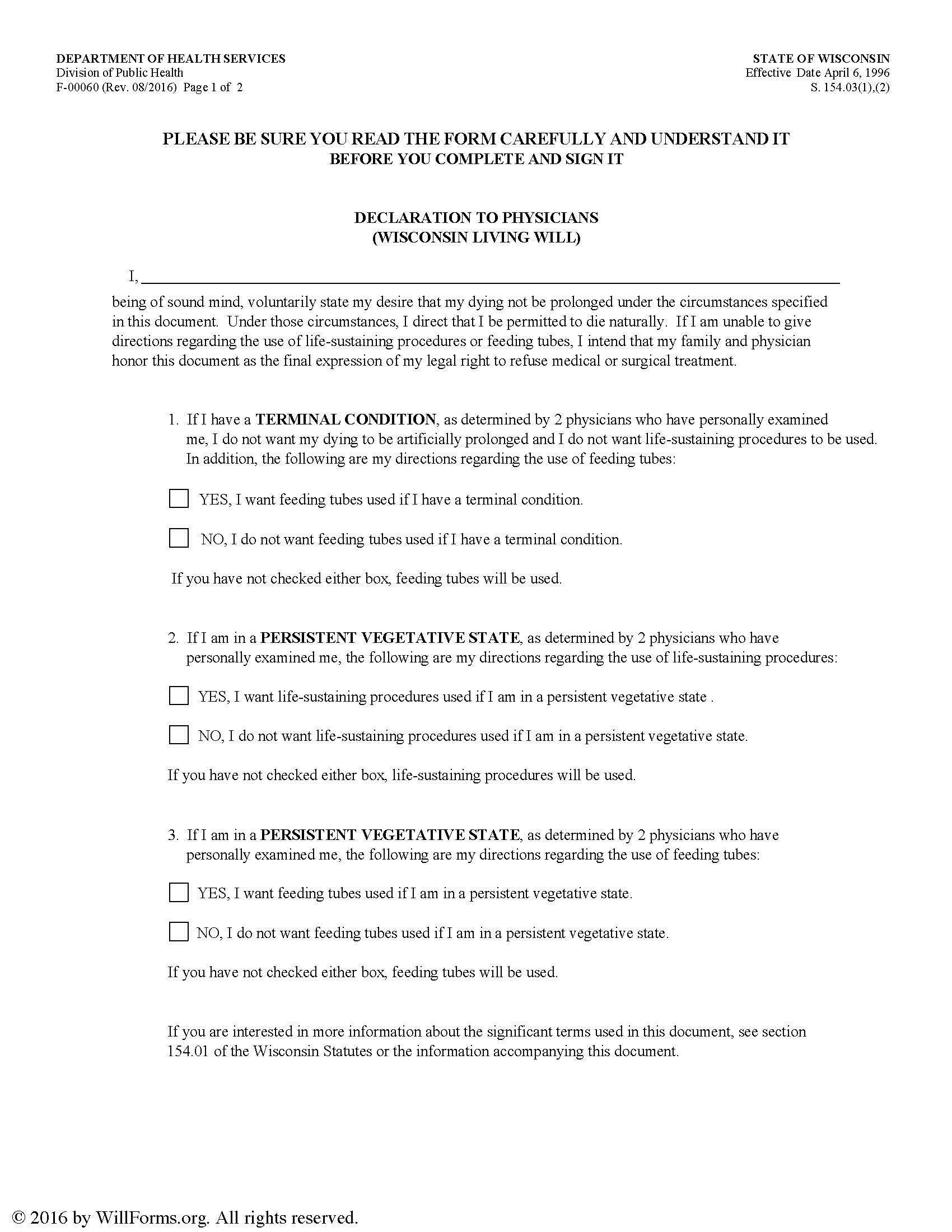
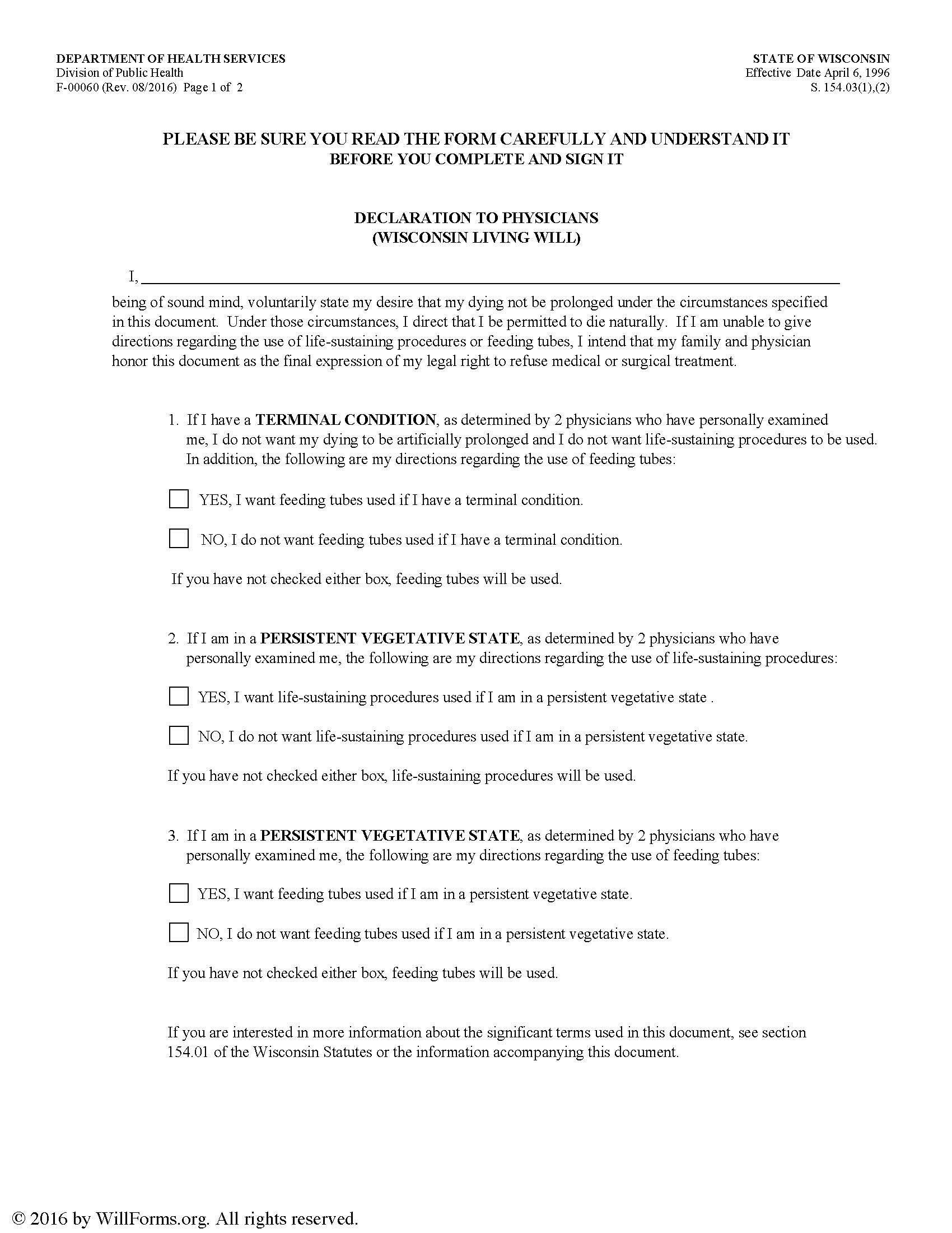
Wisconsin Will Forms Last Will And Testament Living Will Archives Will Forms Will Forms
Free Wisconsin Will Form CocoSign
Free Wisconsin Last Will And Testament Form PDF WORD ODT




