Are you looking for free printable guardianship adult forms in Texas? You’re in the right place! Taking care of legal matters can be overwhelming, but having the right resources can make the process much easier.
Guardianship forms are essential documents that allow you to make decisions on behalf of an incapacitated adult. Whether you are a family member, friend, or caregiver, having these forms in place can provide peace of mind for everyone involved.
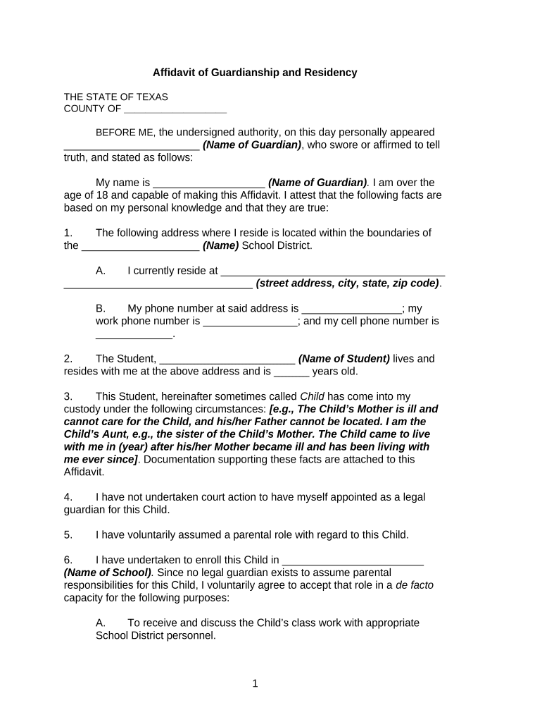
Free Printable Guardianship Adult Forms Texas
Free Printable Guardianship Adult Forms Texas
When it comes to guardianship forms in Texas, it’s important to have the correct documentation to ensure that your loved one’s best interests are protected. By using free printable forms, you can easily navigate the legal process without the added stress of expensive legal fees.
These forms typically include information about the guardian, the incapacitated adult, the reason for guardianship, and any specific instructions or limitations. Having these forms completed and on hand can help streamline the process and ensure that your loved one receives the care they need.
It’s important to note that guardianship laws can vary by state, so it’s crucial to use forms that are specific to Texas. By utilizing free printable guardianship adult forms designed for Texas residents, you can ensure that you are following the appropriate legal guidelines and procedures.
Don’t let the thought of legal paperwork overwhelm you. With free printable guardianship adult forms in Texas, you can take the necessary steps to protect your loved one’s interests and ensure that their needs are met. Download the forms today and take the first step towards peace of mind.
Remember, it’s always best to consult with an attorney if you have any questions or concerns about the guardianship process. They can provide guidance and support to help you navigate the legal system with confidence.
Free Texas Authorization Agreement For Non parent Adult Caregiver PDF Word EForms
Free Texas Minor Child Power Of Attorney Form PDF
Annual Report For Guardianship In Texas Fill Online Printable Fillable Blank PdfFiller
Texas Guardianship Forms PDF Pre built Template AirSlate SignNow
Free Printable Guardianship Form Templates PDF Word





